Global News

阿尔茨海默症,即俗称的痴呆症,已成为一项全球性的健康挑战,其带来的经济和社会负担均颇为沉重。据统计,全球范围内痴呆症患者数量已接近5000万,且每年新增病例约达1000万。在我国,痴呆症患者数量更是高达上千万,居全球之首。尽管科学界对此疾病投入了大量研究精力,但至今仍未发现能够有效预防或治愈阿尔茨海默症的明确治疗方案。因此,面对这一严峻形势,我们需要持续加大科研力度,以期望在未来能够找到更为有效的治疗策略,减轻患者及其家庭的负担。
阿尔茨海默病(AD)是一种复杂的疾病,其发病机制涵盖了多种罕见和常见的遗传变异。其中,APP、PSEN1和PSEN2这三个基因的突变是导致早发性常染色体显性阿尔茨海默氏病的关键因素。此外,还有数十个其他基因的突变与晚发性AD的风险增加密切相关。值得注意的是,在这些遗传风险因素中,APOE基因被普遍认为是影响最为显著的因素。据全球范围内的估计,约有2-3%的人口携带两个APOE4基因,从而进一步增加了他们罹患AD的风险。
根据先前的研究结果,那些携带两个APOE4基因的人,即APOE4纯合子,其终生罹患阿尔茨海默病(AD)的风险在85岁时可达到60%,这一比例明显高于杂合子或非携带者的风险。
2024年5月6日,西班牙圣保罗研究所的研究人员在" Nature Medicine "期刊上发表了一篇题为" APOE4 homozygozity represents a distinct genetic form of Alzheimer’s disease "的研究论文。
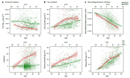
该研究显示,几乎所有携带两个APOE4的人,都会出现阿尔茨海默病症状,与APOE3纯合子相比,从55岁开始,AD生物标志物的水平显著更高,到65岁时,几乎所有人的脑脊液中淀粉样蛋白水平均异常。
这充分表明,APOE4基因不仅是一个潜在的风险因素,更是直接导致疾病的根源所在。个体若拥有两个APOE4基因拷贝,则可能代表阿尔茨海默病的一种新型遗传表现形式。

本研究中,科研人员对国家阿尔茨海默病协调中心及五个规模庞大的阿尔茨海默病生物标志物队列的数据进行了深入剖析。这些数据涵盖了总计3297名病理研究个体以及10039名临床研究个体,其中特别包含了273个APOE4纯合子样本以及519个同时具有阿尔茨海默病生物标志物的APOE4纯合子受试者。通过对APOE4纯合子的临床、病理及生物标志物变化进行系统性分析,旨在精准评估其罹患阿尔茨海默病的风险。
经过深入研究,我们发现,相较于APOE3纯合子,在55岁这一年龄阶段,几乎所有APOE4纯合子均呈现出阿尔茨海默病的病理特征,且其疾病相关生物标志物的水平显著升高。
根据严谨的科学研究显示,当个体年龄达到65岁时,超过95%的APOE4纯合子在大脑中显著展现出阿尔茨海默病病理学的生物学特性,或脑脊液中淀粉样蛋白水平呈现出异常状态。值得一提的是,其中高达75%的个体在淀粉样蛋白扫描中呈现阳性结果。这一发现为我们深入理解阿尔茨海默病的发病机理和制定针对性的预防及治疗策略提供了重要的科学依据。

APOE4纯合性在AD中的外显率和预测价值
此外,研究还发现,APOE4纯合子的症状出现年龄较早,为65.1岁。
基于上述研究结果,研究人员郑重指出,APOE4基因的遗传变异不仅是阿尔茨海默病的一个重要风险因素,而且极有可能代表着阿尔茨海默病的一种特殊遗传模式。

APOE3和APOE4纯合子中AD生物标志物随年龄的变化
研究人员进一步指出,该疾病的重新定义与唐氏综合症的相似性不容忽视。特别是,APOE4纯合子症状发作的可预测性,以及生物标志物变化的顺序,均与常染色体显性AD和唐氏综合症展现出明显的相似性。
此外,研究人员特别强调,现有数据明确显示,个体若拥有两个APOE4基因拷贝,这不仅显著增加了罹患阿尔茨海默病的风险,而且能够作为预测发病的重要标志。因此,我们更加迫切地需要制定并实施具体的预防策略,以应对这一严峻的健康挑战。
综上所述,研究结果显示,携带两个APOE4基因拷贝可能预示着阿尔茨海默病的一种新型遗传模式。这些发现对于针对这一特定患者群体制定个性化的预防方案、设计临床试验以及开发针对性的治疗方法具有潜在的重要意义。
论文链接:
https://doi.org/10.1038/s41591-024-02931-w